什么是靠近到期日的期权与波段交易?
来源:股票学堂
2021-02-20
什么是靠近到期日的期权与波段交易?期权有一个与股票的显著不同之处,那就是有到期日。不论期权之前表现多好,在到期日之后,都是一张废纸。所以很多交易员不会去选择短期期权进行交易。
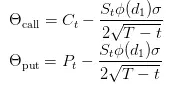
首先,我们看一下期权关于现在时间的敏感度,也就是Greeks中的Theta,即期权价格关于距离到期时间的偏导数负值。

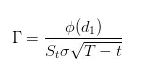
不难发现,在靠近到期日的时候,Theta值会剧烈减少。所以在靠近到期日时,期权的价值会因为很大的Theta loss而产生在时间维度上的贬值。这时候最naive的策略自然就是Short这个期权,然后因为距离到期日近,虽然你的绝对收益率不高,但你可以收获较高的年化收益率(将受益按照期权距离到期日进行折算)。但短期期权有很高的凹凸性,因为Ga**a表达式为

随着靠近到期日,Ga**a会显著增加。所以如果你对市场方向有明确判断,通过卖空短期期权的确可以获得在Theta上很高的年化利润,但如果标的上的损失发生,你承受的也是更巨大的loss。
另外,还有一些其他方法处理Theta带来的风险:如果处于long position,可以卖掉一个更加OTM的option来对冲掉一部分的Theta。
但我这里主要想讲的是另一种策略,利用靠近到期日的期权来进行波段交易(swing trade)。波段交易是一种交易方式,与日交易(day trade)不同的地方在于,一般波段交易是在几日,甚至一周再调整,而不是每日调整。因为波段交易一般调整周期为一周左右,距离到期日还有两周前后ATM期权都是不错的选择。
波段交易赚取的是差价,有典型的两个方式:1,价格低时买入,价格高时卖出;2,价格高时卖空,价格低时买回填空。第一种swing,价格低买高卖交易,不涉及卖空,成本低,自然是可行的。然而,因为高昂的卖空成本,很多做波段交易的人会放弃掉第二种swing方式。而实际上,期权是可以消除这个问题的。不论第一种还是第二种情况,波段交易者可以分别买入call或put来完成自己的swing。原因很简单,call的价格与标的价格呈正向关系,因此可以替代swing的第一种情况;put的价格与标的价格呈反向关系,因此可以替代swing的第二种情况。而且,因为期权价格的低廉,其实这样交易在有限的风险范围内,还增加了杠杆效应。
简单的说,我们可以利用短期的期权作为股票的“镜像”,来完成不同的波段交易,同时增加杠杆与减少risk。
现在回到波段交易本身,其实波段交易的信号捕捉一直是交易者头疼的问题之一。有一条观察得到的规则是,笼统的讲,市场往往对于新闻是反应过度的。也就是说,对于利好消息,股票会因为反应过度而过分拉高价格,但在日后会回归正常;对于不利消息,股票也会反应过度而过分拉低价格,然后在日后回归正常。而说到具体的信号,很大程度上依赖于交易员对市场的经验。
交易本身其实是很简单的东西,低价买,高价卖就可以了。但因为一些衍生品和结构化,以及各个东西间的作用,让交易出现了一些逻辑与分析。世界上没有**的午餐,也没有让Monkey也能赚钱的百利策略。交易一直都是:具体问题具体分析,谁也别企图能****。
想学习更多财经知识,请关注点掌财经直播、微信公众号或点掌财经APP

扫一扫 下载APP